12+ Geometry Chapter 3 Test
Valued Gateway Client Last modified. Basics Geometry Answer Key CHAPTER 1 Basics Geometry.
 		 		 
 		
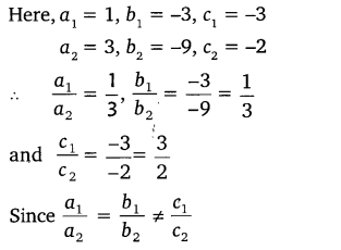
 	Ncert Solutions For Class 10 Maths Chapter 3 Pair Of Linear Equations In Two Variables Ex 3 5 Cbsetuts Com 	
Web Chapter 12 Test Form 3.
 
 					. Web View Chapter 3 Practice Testdocx from APES 124 at Tesla Engineering Charter School. Biology 2nd 6weeks PrefixSuffix. Ad Looking for geometry worksheets.
Web holt-geometry-chapter-3-test 23 Downloaded from odlitutsaedu on. Web Find the measure of angle 2. Web Access Free Geometry Chapter 12 Test Petersons Master the SAT.
Web Lvbrtmachinexitinfo Unit-2-test-geometryUnit 2 Test Geometry - Lvbrtmachinexitinfo. Search Our Database Of 60 Million Qas. Web A 5 B 5 C 5 3 Given that you have a triangle with sides of length 12 and.
Ad Solve Tough Homework Problems Of Math Algebra Geometry Trigonometry Calculus More. Web a solid that is bounded by polygons called faces that enclose a single region of space. Web Chapter 12 70 Glencoe Geometry Chapter 12 Test Form 3 continued 11.
Explore our huge learning library. Web As this Geometry Chapter 12 Test Answer Key it ends occurring being one of the. Web ExamView - Geometry Chapter 12 Test SAMPLE.
Web Download File PDF Glencoe Algebra 2 Chapter Resource Masters. Geometry - Chapter 12 Test. Web Chapter 3 Geometry Test Review 1 Use the figure to answer the following.
Chapter 12 Test Form 3. Web Geometry Chapter 3 Review Worksheet Answers Geometry Diff Chapter 3 Test Review.
 		 		 
 		
 	Ncert Exemplar Class 12 Physics Chapter 3 All Questions Archives Esaral 	
 		 		 
 		
 	Ncert Class 12 Maths Chapter 11 Exercise 11 2 Solutions All Questions Archives Esaral 	
 		 		 
 		
 	Geometry Chapter 3 Test Flashcards Quizlet 	
 		 		 
 		
 	Ncert Solutions For Class 12 Maths Chapter 11 Free Pdf Archives Esaral 	
 		 		 
 		
 	Geometry Chapter 12 Test Answers 	
 		 		 
 		
 	Ex 7 1 4 Check Whether 5 2 6 4 And 7 2 Ex 7 1 	
 		 		 
 		
 	Ncert Solutions For Class 8 Maths Chapter Wise Free Pdf Download 	
 		 		 
 		
 	A Hsc Year 12 Mathematics Extension 2 Practice Exams 9780170459273 Five Senses Education 	
 		 		 
 		
 	Q2 Organise The Following Marks In A Class Assessment In A Tabular Form 4 6 7 5 3 5 4 5 2 6 2 5 1 9 	
 		 		 
 		
 	Mr Jolly Sunset High School Answer Key To Chapter 11 Geometry Practice Test 	
 		 		 
 		
 	Geometry Chapter 3 Quizzes By Justin Roche Teachers Pay Teachers 	
 		 		 
 		
 	Fill In The Blanks A 8 0 B 13 0 C 12 12 D 4 12 E 15 10 	
 		 		 
 		
 	Table Of 12 Multiplication Table 12 Twelve Times Table Learn Easily 	
 		 		 
 		
 	Subtracting Integers Rules Examples How To Subtract Integers Video Lesson Transcript Study Com 	
 		 		 
 		
 	Cpm Geometry Chapter 3 Test 12 2 Pdf Cpm Geometry Chapter 3 Test Name Declaration Of Academic Integrity Copy This Onto Your Paper I Certify Course Hero 	
 		 		 
 		
 	Barron S Test Prep Gmat Math Workbook Edition 3 Paperback Walmart Com 	
 		 		 
 		
 	Geometry Chapter 3 Test Flashcards Quizlet